Ces formes ne seront pas sorties d’un chapeau de magicien mais auront des caractéristiques bien précises. Cela peut paraître un peu compliqué au départ mais heureusement il existe des indicateurs qui vont les faire ressortir dans le graphique.
Voyons tout d’abord comment cela se présente :

Dans cet exemple nous sommes dans un trend haussier.
Pour la figure de gauche, le point de départ est le point marqué d’un X. De ce point les prix montent tout d’abord jusqu’au point A puis redescendent au point B, remontent au point C et redescendent au point D.
La zone délimitée par un cercle autour du point D ou C est une zone d’achat potentiel. Un Stop Loss (SL) est positionné en dessous du point X. L’avantage de cette technique c’est que la plupart du temps les Stop Loss ne sont pas très éloignés ce qui réduit énormément les pertes si la prévision ne se réalise pas.
Sur ce schéma sont placés différentes possibilités de Take Profit marqués tp1, tp2 et tp3.
Il existent différentes formes harmoniques répertoriées. Leurs noms sont Gartley, Crabe, chauve-souris, 5-0, etc… Chacune ayant des caractéristiques propres dans leurs proportions. Les distances entre les points sont dans des proportions utilisant les suites de Fibonacci.
Voyons maintenant ce même type de formes évoluant dans un trend baissier :

Dans l’exemple de gauche nous sommes dans un trend baissier. Le point de départ est le point marqué d’un X. De ce point les prix descendent tout d’abord jusqu’au point A puis remontent au point B, redescendent au point C et remontent au point D. Nous avons alors la zone de vente entourée d’un cercle.
Dans l’exemple de droite, toujours dans un trend baissier, le point de départ est le point marqué d’un X. De ce point les prix remontent au point A puis redescendent au point B pour remonter au point C. À ce point nous trouvons notre zone de vente entourée d’un cercle.
Aujourd’hui nous nous limiteront à une seule figure, le crabe. Pourquoi commencer par elle ? La réponse va être simple, il y avait un trade à faire suivant cette figure aujourd’hui, trade que j’ai fait sur un compte démo pour vous montrer ses possibilités.
Cette figure a été découverte par Scott Carney en 2000. Elle est une des plus précise des figures dites harmoniques. Cette figure permet d’avoir un stop loss très serré.

Situation en achat

Situation en vente
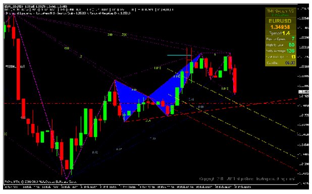
Passons maintenant a un exemple réel :

L’indicateur a repéré la forme automatiquement. Je me suis positionné un peu tard sur cette figure, l’ayant découverte par hasard en vérifiant des graphiques. Vous pouvez voir la ligne en pointillée verte pour la position en vente et celle en pointillée rouge passant au-dessus du point D (le plus haut) pour le Stop Loss.
La ligne pointillée rouge plus bas étant le Take Profit que j’avais décidé. J’avais tracé une ligne rouge en oblique passant par les points A et C (les 2 plus bas) ce qui me permettait d’avoir un Take Profit facilement atteignable.
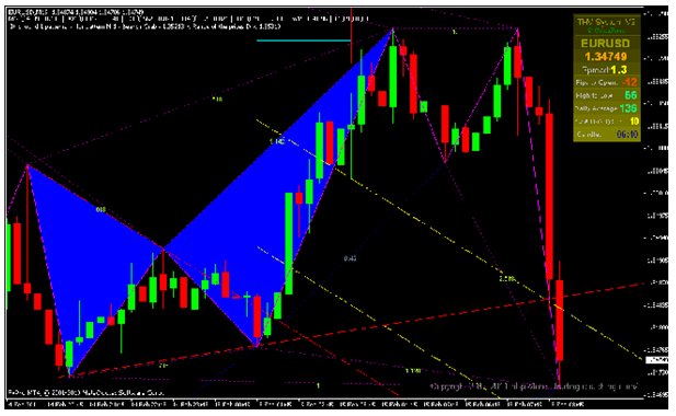
Voici la suite du trade, on peut remarquer qu’en M15, cette formation en crabe était aussi présente :

Eric David

Suivez les marchés avec des outils de pros !